Garden Center Enfield Organic Compounds Functional Groups
garden-organic-gardening

Garden Center Enfield Organic Compounds Functional Groups

Garden Center Enfield Organic Compounds Functional Groups, Indeed recently has been hunted by consumers around us, perhaps one of you personally. People now are accustomed to using the internet in gadgets to view video and image information for inspiration, and according to the name of this article I will discuss about

If the posting of this site is beneficial to our suport by spreading article posts of this site to social media marketing accounts which you have such as for example Facebook, Instagram and others or can also bookmark this blog page.

Gtn Xtra Gtn Xtra Issue 36 2019 Italian Garden Mckinney What Organic Compounds Are Resistant To Hf

Gtn Xtra Gtn Xtra Issue 36 2019 Italian Garden Mckinney What Organic Compounds Are Resistant To Hf

Direct And Indirect Effects Of Urban Gardening On Aboveground And Belowground Diversity Influencing Soil Multifunctionality Scientific Reports Italian Garden Mckinney What Organic Compounds Are Resistant To Hf

2 Italian Garden Mckinney What Organic Compounds Are Resistant To Hf

Pdf Effects Of Bactericera Cockerelli Herbivory On Volatile Emissions Of Three Varieties Of Solanum Lycopersicum Italian Garden Mckinney What Organic Compounds Are Resistant To Hf

2 Italian Garden Mckinney What Organic Compounds Are Resistant To Hf

The particular functional group in and around that enzyme substrate binding site will affect exactly which type of substrate can attach to the enzyme and for how long the substrate can stay attached.

Italian garden mckinney what organic compounds are resistant to hf. Founded in 1964 by the late professor saul patai the aim of patais chemistry of functional groups is to cover all the aspects of the chemistry of an important functional group in each volume with the emphasis. The haworth reaction is a classic method for the synthesis of tetralone. It is less dense than water.

The journal of organic chemistry 2007 72 4 1198 1210. Dec 16 2011 in the presence of carbonyl functional group the alpha hydrogens of a molecule exhibit acidity ie. Tetralone is an organic chemical compound with the molecular formula c10h10o.

In the presence of a base they can be abstracted very easily to yield a carbanion. Forming functional groups based on properties. The para isomers are more symmetric and have higher melting points than the o m isomers.

It is a common intermediate in organic synthesis. Benzene is reacted with succinic anhydride by a friedelcrafts acylation the. In organic chemistry molecules that have similar properties whether they are chemical or physical properties are grouped together.

The chemistry of organic silicon compounds is one of the fastest growing fields in organic chemistry. The carbanion can be stabilized either with resonance to yield enolates. Garden city high school inspiring minds empowering achievement building community.

Recent developments in meerweinponndorfverley and related reactions for the reduction of organic functional groups using aluminum boron and other metal reagents. An indispensible resource for the organic chemist this is the most comprehensive reference available in functional group chemistry. In organic chemistry functional groups or reactive centers are small structural units within molecules that dictate how most of the compounds chemical reactions occur.

Only those aromatic compounds containing strongly polar functional groups such as oh or cooh will be somewhat soluble. The reason they have similar properties is because they have similar groups of atoms. The entire chemistry of organic compounds is based on this relationship between different compounds.

Know these common functional groups you will run into in organic chemistry. In two parts this volume cureent through 1988 deals with organic compounds containing carbon silicon bonds and derivatives with other heteroatoms as well as multiple bonds to silicon.

Https Documents Worldbank Org Curated En 247521564050472116 Pdf Plant Manual Pdf Italian Garden Mckinney What Organic Compounds Are Resistant To Hf

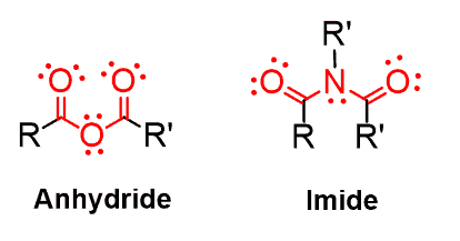
Common Functional Groups In Organic Chemistry Italian Garden Mckinney What Organic Compounds Are Resistant To Hf

Land Use And Fire Drive Temporal Patterns Of Soil Solution Chemistry And Nutrient Fluxes Sciencedirect Italian Garden Mckinney What Organic Compounds Are Resistant To Hf

Tropical Asia Part Iii The Language Of Hunter Gatherers Italian Garden Mckinney What Organic Compounds Are Resistant To Hf

More From Italian Garden Mckinney What Organic Compounds Are Resistant To Hf